Publication date: 11th March 2026
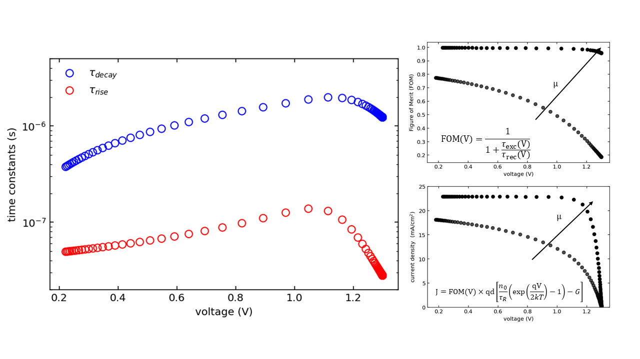
Transient photocurrent/photovoltage (TPC/TPV) measurements are typically used to investigate the charge extraction and recombination processes respectively, in a solar cell. In this regard, TPC is only conducted at short-circuit conditions, while TPV is measured at open-circuit. In this work, we extend the TPC/TPV analysis to determine efficiency losses across the entire current-voltage curve, including at the maximum power point (i.e. where a solar cell is operated). Using a matrix model, we distinguish the influence of several phenomena on the rise and decay time constants, such as recombination, charge extraction and various capacitive effects. The influence of these physical mechanisms is encompassed within a figure of merit that depends on the measured time constants at different bias points along the whole current-voltage curve. Finally, we experimentally determine the figure of merit for a 1.68 eV perovskite solar cell, identifying that the transport layers are a key factor in limiting its performance.
