DOI: https://doi.org/10.29363/nanoge.matsusspring.2026.758
Publication date: 15th December 2025
Nonlinear oscillators are increasingly recognized as core building blocks for physics-based computation, where information is processed through dynamical behaviors such as spiking, synchronization, and phase relationships. A wide variety of material platforms—including phase-change compounds, mixed ionic–electronic conductors, van der Waals materials, and nanoscale fluidic channels—have been explored for such dynamical devices. Yet across these diverse systems, a unifying challenge emerges: computational functionality is determined not only by materials properties, but by the underlying dynamical structure of the device. In this work, I present a cross-platform dynamical description of oscillator devices—spanning silicon thyristors, organic electrochemical transistors, and rectifying nanopores—demonstrating how nonlinear dynamics and bifurcation theory provide a general framework for designing, tuning, and optimizing oscillatory behavior for physical computation.
Despite their disparate physical mechanisms, these systems share a common architecture: a nonlinear element exhibiting negative differential resistance or negative transconductance, coupled to slow dynamical variables arising from capacitive charging, ionic motion, or configurational relaxation. Together these ingredients form slow–fast dynamical systems capable of self-sustained oscillations through a Hopf bifurcation, generating limit cycles whose amplitude, waveform, and frequency can be engineered through device parameters and external circuit elements.
I first discuss a compact two-terminal silicon thyristor oscillator with an ultrasmooth S-type NDR characteristic, enabling robust and hysteresis-free oscillations. Combined experimental and analytical work identifies a tunable Hopf bifurcation governed by input current and capacitance, producing a continuous transition from sinusoidal oscillations near onset to relaxation waveforms at higher capacitances. When operated close to the bifurcation threshold, the system exhibits stochastic resonance, illustrating how intrinsic nonlinearities can amplify weak signals and support temporal processing tasks.
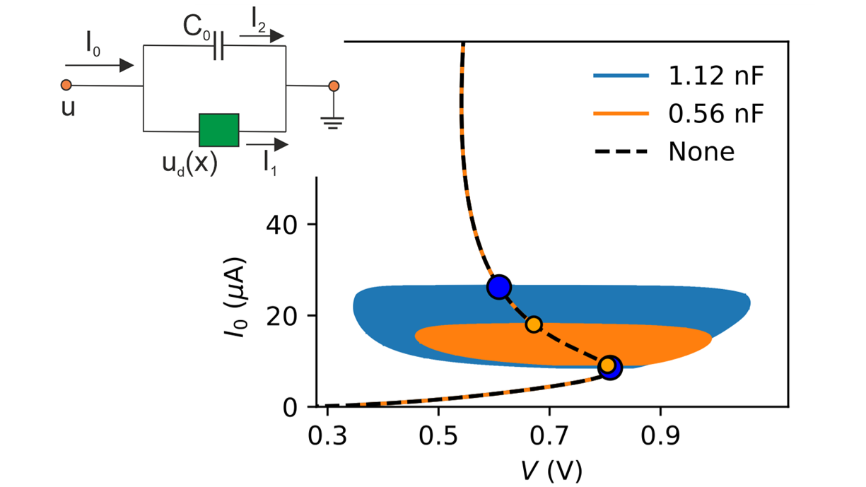
I then extend the same dynamical framework to a single-transistor organic electrochemical oscillator, where the coupling between ion transport and electronic conduction creates a peaked transfer curve and an effective negative transconductance region. Despite the distinct physics of mixed ionic–electronic materials, the device maps onto the same two-variable oscillator class: a fast destabilizing electronic response combined with a slow ionic recovery. The Hopf criterion accurately predicts the emergence of autonomous oscillations without external amplifiers, showing how minimal circuit motifs can generate functional dynamical behavior in soft and biointegrated materials.
Finally, I show that fluidic nanopores—rectifying channels with hysteresis and deactivation dynamics—exhibit an analogous bifurcation structure. When described with fast activation and slow deactivation variables, the nanopore displays a negative resistance sector and undergoes a Hopf bifurcation, thereby functioning as a minimal liquid-phase oscillator. This demonstrates that the same mathematical formulation governing solid-state and organic oscillators extends naturally to fluidic systems, enabling dynamical computation in aqueous environments.
Across these platforms, a unified dynamical-systems perspective yields general design rules for oscillatory devices: (i) the shape and smoothness of the stationary I–V or transfer curve dictate the onset of instability; (ii) the ratio of fast to slow timescales controls the transition between harmonic and relaxation dynamics; (iii) external resistive–capacitive elements act as tunable parameters for frequency, amplitude, phase, and noise sensitivity; and (iv) operating near bifurcation points provides regimes of enhanced responsiveness, valuable for sensing, synchronization, and oscillator-based computational architectures.
Overall, this work argues that nonlinear dynamics offers a materials-agnostic design principle for next-generation dynamical devices. By treating oscillators as physical–computational entities governed by universal bifurcation structures, we open new pathways for engineering scalable, tunable, and energy-efficient computation across solid-state, organic, and fluidic technologies.1,2
Funded by the European Research Council (ERC) via Horizon Europe Advanced Grant, grant agreement nº 101097688 ("PeroSpiker").
